研究生招生

分享到:

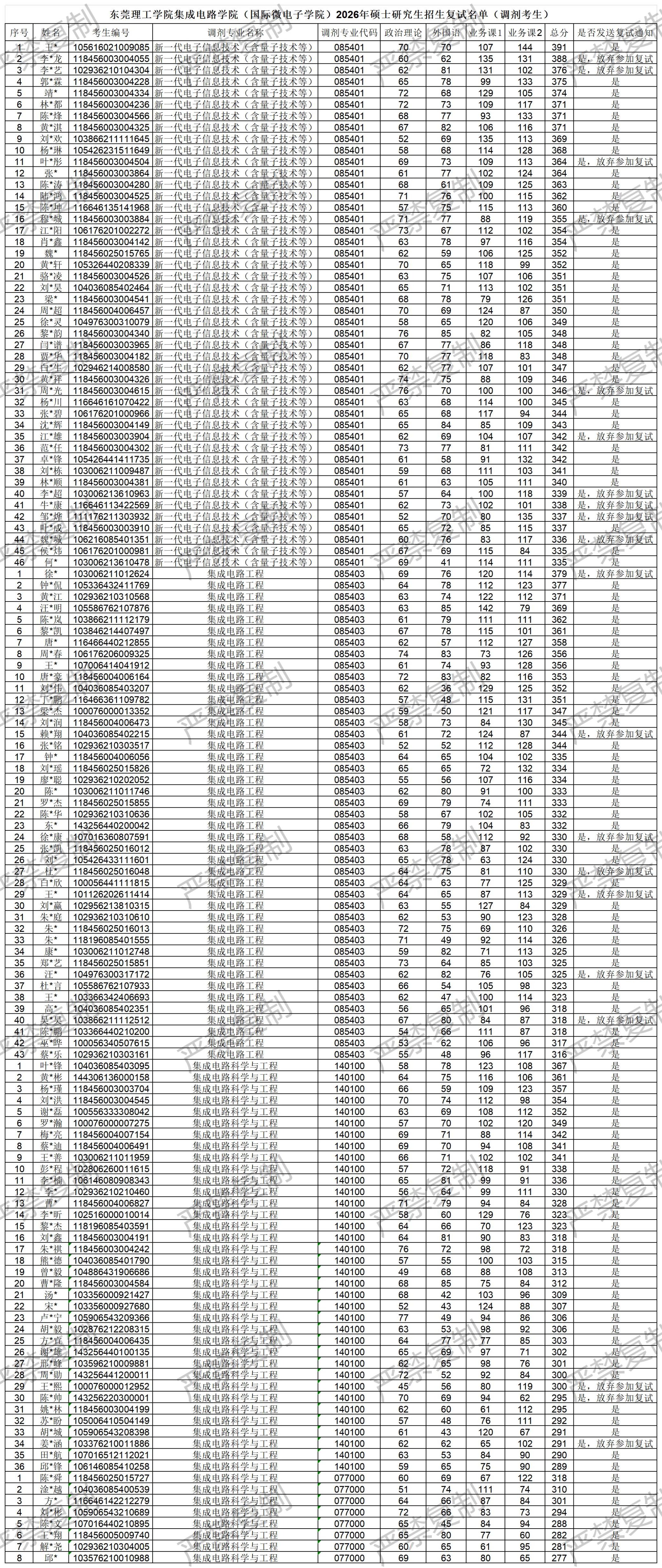
上一篇:东莞理工学院2026年集成电路学院(国际微电子学院)硕士研究生招生复试结果(调剂考生)

下一篇:东莞理工学院集成电路学院(国际微电子学院)2026年硕士研究生招生复试工作安排(调剂考生)

关闭